Double Integral Of Sin Y 2 45+ Pages Solution in Doc [1.4mb] - Latest Update
Get 14+ pages double integral of sin y 2 analysis in Google Sheet format. Since 1 1 is constant with respect to y y move 1 1 out of the integral. Sometimes an approximation to a definite integral is desired. We are going to hope that if we reverse the order of integration we will get an integral that we can do. Check also: integral and double integral of sin y 2 Therefore the integral is.
Use the half - angle formula to rewrite sin2y sin 2 y as 1cos2y 2 1 - cos 2 y 2. 2001 What is a double integral.
![]()
Evaluate The Double Integral Xysqrt X 2 Y 2 Dydx Without Using Trigonometric Substitutions Split the single integral into multiple integrals.
| Topic: Y x 1 yx 1 u 1 y x 3 yx 3 u 3 y x 3 2 y x 3 2 v 2 y x 3 4 y x 3 4 v 4. Evaluate The Double Integral Xysqrt X 2 Y 2 Dydx Without Using Trigonometric Substitutions Double Integral Of Sin Y 2 |
| Content: Explanation |
| File Format: PDF |
| File size: 2.3mb |
| Number of Pages: 8+ pages |
| Publication Date: September 2018 |
| Open Evaluate The Double Integral Xysqrt X 2 Y 2 Dydx Without Using Trigonometric Substitutions |
Integral from 0 to 5 integral from y2 to 25 of y sinx2 dx dy Its a double integral.

21The integral would be int_01 int_x1 siny2hspace01cmdyhspace01cmdx Or equivalently int_01 int_0y siny2hspace01cmdxhspace01cmdy int_01 yhspace01cmsiny2hspace01cmdy fraccosy22Bigg_y1y0 frac1-coshspace005cm12. Double integrals are a way to integrate over a two-dimensional area. It helps you practice by showing you the full working step by step integration. First well find the points of intersection for the region R. By letting u yx v y x 3 we have. Among other things they lets us compute the volume under a surface.

Double Integrals Over General Regions Calculus Volume 3 If playback doesnt begin shortly try restarting your device.
| Topic: A common way to do so is to place thin rectangles under the curve and add the signed areas together. Double Integrals Over General Regions Calculus Volume 3 Double Integral Of Sin Y 2 |
| Content: Answer Sheet |
| File Format: DOC |
| File size: 2.8mb |
| Number of Pages: 27+ pages |
| Publication Date: March 2018 |
| Open Double Integrals Over General Regions Calculus Volume 3 |

Ma22s1 Problem Set 8 Solutions All common integration techniques and even special functions are supported.
| Topic: Integral ofintegral ofintegral ofx2y2z2. Ma22s1 Problem Set 8 Solutions Double Integral Of Sin Y 2 |
| Content: Learning Guide |
| File Format: Google Sheet |
| File size: 1.8mb |
| Number of Pages: 13+ pages |
| Publication Date: June 2019 |
| Open Ma22s1 Problem Set 8 Solutions |

How To Solve Double Integral Of E Sin X Y Quora The double integral gives us the volume under the surface z fxy just as a single integral gives the area under a curve.
| Topic: Double Integrals - Describe a Region of Integration Advanced - YouTube. How To Solve Double Integral Of E Sin X Y Quora Double Integral Of Sin Y 2 |
| Content: Analysis |
| File Format: DOC |
| File size: 3.4mb |
| Number of Pages: 5+ pages |
| Publication Date: June 2019 |
| Open How To Solve Double Integral Of E Sin X Y Quora |

Evaluate A Double Integral Using Substitution Over A Rectangular Region F X Y Xysin X 2 Y 2 X d x c o s c o s 0 2.
| Topic: This means 0 sinxdx coscos0 2 0 sin. Evaluate A Double Integral Using Substitution Over A Rectangular Region F X Y Xysin X 2 Y 2 Double Integral Of Sin Y 2 |
| Content: Answer Sheet |
| File Format: PDF |
| File size: 1.8mb |
| Number of Pages: 55+ pages |
| Publication Date: April 2018 |
| Open Evaluate A Double Integral Using Substitution Over A Rectangular Region F X Y Xysin X 2 Y 2 |

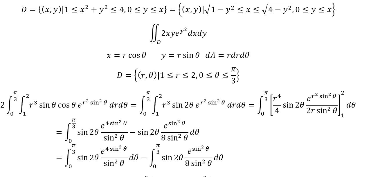
Integrating Iint D 2xy Exp Y 2 Dxdy Over The Given Region Using Polar Coordinates Mathematics Stack Exchange The region of integration is the sector of the unit circle between thetapi4 and theta3pi4 and 0leq rleq 1.
| Topic: X msquare log_ msquare sqrt square nthroot msquare square le. Integrating Iint D 2xy Exp Y 2 Dxdy Over The Given Region Using Polar Coordinates Mathematics Stack Exchange Double Integral Of Sin Y 2 |
| Content: Answer Sheet |
| File Format: PDF |
| File size: 1.8mb |
| Number of Pages: 20+ pages |
| Publication Date: June 2018 |
| Open Integrating Iint D 2xy Exp Y 2 Dxdy Over The Given Region Using Polar Coordinates Mathematics Stack Exchange |

Evaluate The Iterated Integral Below Integral 0 2 Chegg Your first 5 questions are on us.
| Topic: An improper double integral is an integral D fdA where either D is an unbounded region or f is an unbounded function. Evaluate The Iterated Integral Below Integral 0 2 Chegg Double Integral Of Sin Y 2 |
| Content: Learning Guide |
| File Format: DOC |
| File size: 1.9mb |
| Number of Pages: 7+ pages |
| Publication Date: July 2017 |
| Open Evaluate The Iterated Integral Below Integral 0 2 Chegg |

Example 5 Evaluate The Iterated Integral Sin Y Dy Chegg Among other things they lets us compute the volume under a surface.
| Topic: By letting u yx v y x 3 we have. Example 5 Evaluate The Iterated Integral Sin Y Dy Chegg Double Integral Of Sin Y 2 |
| Content: Answer Sheet |
| File Format: DOC |
| File size: 2.6mb |
| Number of Pages: 50+ pages |
| Publication Date: April 2019 |
| Open Example 5 Evaluate The Iterated Integral Sin Y Dy Chegg |

Example 5 Evaluate The Iterated Integral Sin Y2 Dy Chegg 21The integral would be int_01 int_x1 siny2hspace01cmdyhspace01cmdx Or equivalently int_01 int_0y siny2hspace01cmdxhspace01cmdy int_01 yhspace01cmsiny2hspace01cmdy fraccosy22Bigg_y1y0 frac1-coshspace005cm12.
| Topic: Example 5 Evaluate The Iterated Integral Sin Y2 Dy Chegg Double Integral Of Sin Y 2 |
| Content: Learning Guide |
| File Format: DOC |
| File size: 2.1mb |
| Number of Pages: 25+ pages |
| Publication Date: May 2019 |
| Open Example 5 Evaluate The Iterated Integral Sin Y2 Dy Chegg |

Question Video Evaluating A Double Integral Nagwa
| Topic: Question Video Evaluating A Double Integral Nagwa Double Integral Of Sin Y 2 |
| Content: Synopsis |
| File Format: PDF |
| File size: 2.1mb |
| Number of Pages: 35+ pages |
| Publication Date: May 2018 |
| Open Question Video Evaluating A Double Integral Nagwa |

Consider The Following Double Integral Chegg
| Topic: Consider The Following Double Integral Chegg Double Integral Of Sin Y 2 |
| Content: Analysis |
| File Format: Google Sheet |
| File size: 800kb |
| Number of Pages: 8+ pages |
| Publication Date: June 2021 |
| Open Consider The Following Double Integral Chegg |

A Consider Double Integrate Y Sin X 2 Dx Dy Chegg
| Topic: A Consider Double Integrate Y Sin X 2 Dx Dy Chegg Double Integral Of Sin Y 2 |
| Content: Summary |
| File Format: PDF |
| File size: 2.1mb |
| Number of Pages: 26+ pages |
| Publication Date: January 2020 |
| Open A Consider Double Integrate Y Sin X 2 Dx Dy Chegg |
Its really easy to get ready for double integral of sin y 2 Evaluate the iterated integral integral 0 9 chegg example 5 evaluate the iterated integral sin y dy chegg how to solve double integral of e sin x y quora evaluate a double integral using substitution over a rectangular region f x y xysin x 2 y 2 double integrals over general regions calculus volume 3 ma22s1 problem set 8 solutions evaluate the double integral xysqrt x 2 y 2 dydx without using trigonometric substitutions integrating iint d 2xy exp y 2 dxdy over the given region using polar coordinates mathematics stack exchange


No comments:
Post a Comment